1 Query的角色

先来回顾一下query是什么,上图是encoder中self-attention和decoder中cross-attention的对比图,可以发现唯一的区别在于query的组成。对于encoder的self-attention,query=image features(内容) + positional embeddings(位置),所以对应到decoder来说,decoder embeddings就是content,learnable queries就是position。
对于decoder embedding,它担当一个“语义载体”的身份,它是不可学习的,它通过cross attention和image feature进行交互,并将注意力施加到values中(也是image features),从而抽取语义信息。
对于learnable queries,它是可学习的,也是通过cross attention进行交互(不断地看图像中的某个东西),最后由目标损失函数反向传播回来的梯度进行更新,理应要学习到物体的所在位置。
1.1 Query的不好
Encoder中的query是图像特征+正余弦编码,我们知道decoder embedding初始化为0,learnable queries又没有显示提供位置先验,因此刚开始做注意力时,大多数decoder embeddings都会被project到图像特征的同一空间位置(learnable queries没有约束之),DETR势必要经过多轮才能训练得当。
错在learnable queries,但是到底是learnable queries难以学习,还是说它没有提供显示位置先验,才让整个训练过程漫长呢?

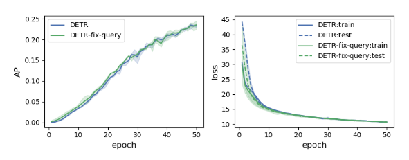
由改图可知,拿了已训练好的DETR的learnable queries并将其固定住,然后重新训练DETR的其他部分,除了在前几个epochs的loss会小一点,整体过程都后面跟原始learnable queries的DETR差不多。所以说learnable queries容易学习(后面的过程大家都差不多,说明以及学习得很像了),但也拦不住DETR训练慢。所以不免猜测为第二个原因:没有提供显式位置先验。

将learnable queries与encoder中的positional embedding进行点乘,然后可视化之,可以发现,注意力图中要不会出现多个中心点,要不就是注意力面积过大或过小,也就说明learnable queries并没有很好的在位置上进行约束。既比如如果图中有多个objects,那么query就不知道该看哪个。又或者是看的不全或看的太杂,总之一点用都没有。图(b)则是加入了位置先验后的点乘得出的注意力图,可以发现注意力明显好多了。
所以可以推出:queries的多模式(multiple mode)是导致训练漫长的罪魁祸首,并且加入位置先验是可以有效提高训练速度的。
但是图(b)也有不合理的地方,因为不同的objects的尺度必然是不同的,因此加入尺度信息也是应该的,如图(c)所示。
2 Anchor boxes/Reference points
所以本文提出了anchor boxes作为learnable queries,既$A_q=(x_q,y_q,w_q,h_q)$表示第q个anchor box。整体模型如图所示
2.1 各个组件
Decoder中self-attention的Q、K的位置编码
它由reference points(也就是anchor boxes)经过Anchor Sine Encoding(源码中的gen_sineembed_for_position)得到四个方向独立的正余弦编码后,在经过一层MLP(主要作用是变换维度,源码中的ref_point_head)得到。需要注意的是,这里的温度还是10000.
Decoder中self-attention的输入
if not self.rm_self_attn_decoder: # Apply projections here # shape: num_queries x batch_size x 256 q_content = self.sa_qcontent_proj(tgt) # target is the input of the first decoder layer. zero by default. q_pos = self.sa_qpos_proj(query_pos) k_content = self.sa_kcontent_proj(tgt) k_pos = self.sa_kpos_proj(query_pos) v = self.sa_v_proj(tgt) num_queries, bs, n_model = q_content.shape hw, _, _ = k_content.shape q = q_content + q_pos k = k_content + k_pos tgt2 = self.self_attn(q, k, value=v, attn_mask=tgt_mask, key_padding_mask=tgt_key_padding_mask)[0]
可见不管是q,k,v还是position,content,都是要先进行Linear project,然后此时content和pos是相加
Decoder中cross-attention的x,y transformation
这里的作用更多是获取以内容信息为条件的尺度向量(既让尺度向量看到内容信息,再加以调整之后,得到新的尺度向量)。需要注意的是,第一层传过来的是tgt被初始化为0,并没有什么内容信息,所以第一层不做transformation。既以下公式的$\text{MLP}^{(csq)}$

if self.query_scale_type != 'fix_elewise': if layer_id == 0: pos_transformation = 1 else: pos_transformation = self.query_scale(output) else: pos_transformation = self.query_scale.weight[layer_id] # apply transformation # 注意这里做了截断,在最后一维截取前 d_model 个维数 query_sine_embed = query_sine_embed[...,:self.d_model] * pos_transformationDecoder中cross-attention的尺度调节
这是原本两个位置编码的attention

这是加入了尺度调节后的attention

具体代码实现如下:
# modulated HW attentions # 将尺度信息注入交叉注意力这一步骤是在attention之前完成的 if self.modulate_hw_attn: refHW_cond = self.ref_anchor_head(output).sigmoid() # nq, bs, 2,对应w_{q,ref} & h_{q,ref} query_sine_embed[..., self.d_model // 2:] *= (refHW_cond[..., 0] / obj_center[..., 2]).unsqueeze(-1) query_sine_embed[..., :self.d_model // 2] *= (refHW_cond[..., 1] / obj_center[..., 3]).unsqueeze(-1) output = layer(output, memory, tgt_mask=tgt_mask, memory_mask=memory_mask, tgt_key_padding_mask=tgt_key_padding_mask, memory_key_padding_mask=memory_key_padding_mask, pos=pos, query_pos=query_pos, query_sine_embed=query_sine_embed, is_first=(layer_id == 0))位置偏移
每一层decoder的输出都会经过MLP(bbox_embed)得到偏移量,然后加入到当前的reference points中去更新。最后一层会在外部进行。
bbox_embed分为两种,共享权重以及每一层独立
代码细节如下:
# decoder 层 # iter update # 更新参考点 if self.bbox_embed is not None: # 生成offsets if self.bbox_embed_diff_each_layer: tmp = self.bbox_embed[layer_id](output) # 独立 else: tmp = self.bbox_embed(output) # 共享 # import ipdb; ipdb.set_trace() tmp[..., :self.query_dim] += inverse_sigmoid(reference_points) # 参考点是经过了sigmoid的,先反sigmoid new_reference_points = tmp[..., :self.query_dim].sigmoid() # 更新参考点后重新经过sigmoid缩放 if layer_id != self.num_layers - 1: ref_points.append(new_reference_points) # 最后一层的参考点会在外层模型由整个transformer的output经过bbox_embed得到offsets reference_points = new_reference_points.detach() ## 作者说(本人说的哦) detach() 是因为让梯度的流通更友好,它想让每层的梯度仅受该层的输出影响# 外层 # iii. 预测每个对象(query)的位置: # 基于它们的参考点(位置先验),然后将它们的隐层向量输入 bbox_embed 得到校正的偏移量, # 最后由参考点+偏移量得到位置:x,y,w,h if not self.bbox_embed_diff_each_layer: reference_before_sigmoid = inverse_sigmoid(reference) tmp = self.bbox_embed(hs) tmp[..., :self.query_dim] += reference_before_sigmoid outputs_coord = tmp.sigmoid() else: # 如果每一层的bbox_embed不共享 reference_before_sigmoid = inverse_sigmoid(reference) outputs_coords = [] for lvl in range(hs.shape[0]): # 对于每一层,hs都要和该层的bbox_embed做 tmp = self.bbox_embed[lvl](hs[lvl]) tmp[..., :self.query_dim] += reference_before_sigmoid[lvl] outputs_coord = tmp.sigmoid() outputs_coords.append(outputs_coord) outputs_coord = torch.stack(outputs_coords) # (num_layers,bs,num_queries,4)
其他细节
尺度调节实在传入到cross-attention之前进行的
在输入到cross-attention时,会将其进行concat而不是相加,这样content和position的注意力就会分开计算
这里对于reference points取消了梯度,这样的话可以避免reference points过拟合当前数据集的尺寸分布,因为偏移量也是可以修正reference points的。